คุณรู้หรือไม่ว่ามีต้นไม้ตายเพราะฟ้าผ่าในแต่ละปีมากกว่าที่คุณคิด
การศึกษาวิจัยครั้งแรกนี้ประเมินว่า ต้นไม้ตายจากการถูกฟ้าผ่า 320 ล้านต้นต่อปี โดยคิดเป็น 2.9 เปอร์เซ็นต์ของการสูญเสียชีวมวลพืชต่อปี และปล่อยก๊าซคาร์บอนไดออกไซด์มากถึง 1.09 พันล้านตัน ซึ่งการศึกษาในครั้งนี้เป็นการศึกษาเกี่ยวกับการตายของต้นไม้ที่เกิดจากการถูฟ้าผ่าเพียงอย่างเดียวเท่านั้น ไม่รวมการตายของต้นไม้ที่เกิดจากไฟไหม้ป่าเพราะฟ้าผ่า
นักวิจัยจากมหาวิทยาลัยเทคนิคมิวนิก (TUM) ได้ระบุตัวเลขเหล่านี้โดยใช้แบบจำลองทางคณิตศาสตร์แบบใหม่ ซึ่งให้ภาพรวมที่ไม่เคยมีมาก่อนว่าการตายของต้นไม้ที่เกิดจากฟ้าผ่าส่งผลกระทบต่อระบบนิเวศทั่วโลกอย่างไร แต่การจำแนกประเภทการตายของต้นไม้ก็ไม่ใช่เรื่องง่าย ต้นไม้ที่ตายมักไม่มีร่องรอยการตายของต้นไม้ที่ชัดเจน ในขณะที่ต้นไม้บางต้นอาจเน่าเปื่อยเกินกว่าที่จะนำไปวิเคราะห์ทางนิติวิทยาศาสตร์ป่าไม้ได้
การตายของต้นไม้บางชนิดเกิดขึ้นอย่างช้าๆ และการสำรวจส่วนใหญ่มักจำกัดอยู่เพียงการสังเกตการณ์การตายของต้นไม้เดี่ยวๆ ที่เกิดขึ้นไม่บ่อยนัก หลังจากเหตุการณ์เกิดขึ้นแล้วบางพื้นที่ เช่น ป่าเขตอบอุ่นและป่าไทกา ไม่ได้รับการศึกษาอย่างละเอียดเท่ากับพื้นที่ในเขตร้อน ดังนั้น นักวิจัยจึงได้ผสมผสานวิธีการต่างๆ เข้าด้วยกันเพื่อประเมินภาพรวม ซึ่งรวมถึงการใช้ผลลัพธ์จากระบบตรวจจับฟ้าผ่าที่ใช้กล้องของทีมอื่นในป่าเขตร้อนบนเกาะบาร์โร โคโลราโด (BCI) ของปานามา การติดตามผลด้วยกล้องเหล่านี้จะดำเนินการด้วยโดรน และทำการสำรวจภาคพื้นดินเพื่อยืนยันต้นไม้ที่ถูกฟ้าผ่า
ข้อมูลของ BCI นี้เผยให้เห็นว่าฟ้าผ่าสามารถแพร่กระจายได้รวดเร็ว ฟ้าผ่าสามารถทำให้เกิด "แฟลชโอเวอร์" ได้ เนื่องจากกระแสไฟฟ้าไหลผ่านช่องว่างระหว่างเรือนยอดของต้นไม้ข้างเคียง ซึ่งอาจไกลถึง 45 เมตร (เกือบ 150 ฟุต) จากต้นไม้ที่โดนฟ้าผ่าในตอนแรก ส่งผลให้ฟ้าผ่าแต่ละครั้งคร่าชีวิตต้นไม้เฉลี่ย 3.5 ต้น
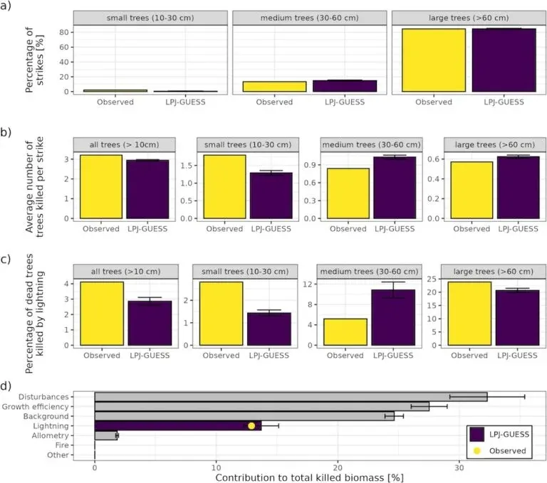
จากการทดสอบโมเดลกับข้อมูลจริง พวกเขาพบว่าโมเดลดังกล่าวสามารถจำลองต้นไม้ที่ถูกฟ้าผ่าตายได้อย่างเหมาะสม
อัตราการตายของต้นไม้ที่เกิดจากแสงโดยเฉลี่ยสำหรับต้นไม้ที่มีขนาดและระยะห่างต่างกันตั้งแต่แสงเริ่มตก (Krause et al., Global Change Biology, 2025)
จากนั้นนักวิจัยได้นำแบบจำลองที่ผ่านการตรวจสอบแล้วไปประยุกต์ใช้กับป่าเขตอบอุ่นและเขตร้อนอื่นๆ ทั่วโลก เพื่อเพิ่มค่าเฉลี่ยการตายของต้นไม้ทั่วโลก นักวิจัยยังได้รวมชุดข้อมูลขนาดใหญ่สองชุดเกี่ยวกับความถี่และความหนาแน่นของฟ้าผ่า ชุดหนึ่งมาจากเครือข่ายแสงจากอวกาศ และชุดที่สองมาจากการสังเกตการณ์ภาคพื้นดิน
ความหนาแน่นของฟ้าผ่าจากเมฆสู่พื้นดินโดยอาศัยชุดข้อมูล/เครือข่ายการตรวจจับฟ้าผ่าสองชุดที่แตกต่างกัน ซึ่งนำไปใช้ในแบบจำลองทางคณิตศาสตร์ของการศึกษาเพื่อประเมินอัตราการตายของต้นไม้ทั่วโลกอันเนื่องมาจากฟ้าผ่า
จากการจำลองสถานการณ์ พบว่ามีฟ้าผ่าลงสู่พื้นผิวโลกปีละ 286–328 ล้านครั้ง โดยส่วนใหญ่เกิดขึ้นบนพื้นที่ที่ไม่มีน้ำแข็งปกคลุมโดยเฉพาะในเขตร้อน ส่งผลให้ต้นไม้ล้มตายปีละ 301–340 ล้านต้นในช่วงปี 2004-2023 ซึ่งรวมถึงต้นไม้ขนาดใหญ่ (เส้นผ่านศูนย์กลางมากกว่า 60 เซนติเมตร) จำนวน 24–36 ล้านต้น
เพื่อการเปรียบเทียบ สาเหตุตามธรรมชาติคร่าชีวิตต้นไม้ประมาณ 5 หมื่นล้านต้นต่อปี ซึ่งบางครั้งทำให้เกิดป่าผีที่เรียกว่า “ป่าผีปล่อยตด หรือ farting' ghost forests” ดังนั้น แม้ว่าฟ้าผ่าจะเป็นสาเหตุการตายของต้นไม้โดยรวมเพียง 0.69 เปอร์เซ็นต์ แต่ฟ้าผ่ากลับเป็นสาเหตุของการตายของต้นไม้ขนาดใหญ่ถึง 6.3 เปอร์เซ็นต์
ปัจจุบัน อัตราการตายของต้นไม้อันเนื่องมาจากฟ้าผ่าสูงที่สุดในภูมิภาคเขตร้อน และแบบจำลองเหล่านี้ชี้ให้เห็นว่าความถี่ของฟ้าผ่าจะเพิ่มขึ้นเป็นหลักบริเวณละติจูดกลางและสูง ซึ่งอาจจะหมายถึงการตายของต้นไม้เนื่องจากฟ้าผ่านั้นอาจเกิดขึ้นในป่าเขตอบอุ่นและป่าไทก้า Andreas Krause นักวิทยาศาสตร์คอมพิวเตอร์จากห้องปฏิบัติการปฏิสัมพันธ์ระหว่างพื้นผิวโลกและชั้นบรรยากาศของ TUM ให้ข้อมูลเพิ่มเติม
5 ประเทศในเอเชียที่มีการบริโภค ข้าวเหนียว มากที่สุด
จังหวัดล่าสุดของประเทศไทยที่ถูกยุบเลิก (ในทางประวัติศาสตร์)
10 ประเทศในทวีปเอเชีย ที่มีกองกำลังทหารแข็งแกร่งมากที่สุด
อำเภอพิเศษของประเทศไทย ที่ถูกประกาศจัดตั้งขึ้นพร้อมกัน
เลขเด็ด "ทักษามหารานี" งวดวันที่ 16 กุมภาพันธ์ 69..ส่องเลย เลขไหนมาแรง!
แมวเพียงชนิดเดียวในประเทศไทย ที่ถูกขึ้นบัญชีให้เป็นสัตว์ป่าสงวน
หนุ่ม 20 ขับรถเฟอร์รารี่สุดหรูของพ่อ ไปชนจนพังยับ!!
เปิดแนวทางตัวเลข "อาจารย์เบียร์ คนตื่นธรรม" งวดวันที่ 16 กุมภาพันธ์ 2569
5 ยี่ห้อน้ำปลาร้าที่คนไทยนิยมมากที่สุด
"งูจงอาง" โผล่หน้ารถใช้เวลา 4 ชั่วโมง กว่าจะจับได้ คอหวยแห่ส่องเลขทะเบียนรถ
เปิดวาร์ป 3 จุดที่ "แคบที่สุด" ในแผนที่ประเทศไทย! อยู่ตรงไหน มาดูกัน
แฝดสยาม อิน-จัน จาก 'ตัวประหลาด' สู่ 'เศรษฐีที่ดิน' ในอเมริกา
ประเทศที่มีทุ่นระเบิดสังหารซุกซ่อนอยู่มากที่สุดในโลก
CIB จับผู้ต้องหาหลังหนีคดีเกือบ 20 ปี ก่อนหมดอายุความเพียง 1 วัน
วิบากกรรมพรรคประชาชน! ป.ป.ช. ชี้มูล 44 อดีต สส. ก้าวไกล ผิดจริยธรรมปมแก้ ม.112 สะเทือน "เท้ง-ศิริกัญญา" เสี่ยงหยุดปฏิบัติหน้าที่
บทเรียนราคาแพง "งูเห่าเลือกตั้ง 69" เมื่อการย้ายค่ายไม่ใช่คำตอบของชัยชนะ






